افشای اسناد کمک ۶۵.۴ میلیون دلاری حزب اردوغان به لابی صهیونیستی + تصویر اسناد
دو شب گذشته در برنامه زنده تلویزیونی شبکه «سی ان ان ترکی»، میان «آیکوت اردوغدو» نماینده مجلس حزب جمهوریخواه خلق و «آیهان اوغان» عضو شورای مرکزی حزب عدالت و توسعه درگیری لفظی پدید آمد که در ادامه این درگیری لفظی در حال تبدیل شدن به درگیری فیزیکی بود که با وساطت مجری برنامه متوقف شد.
رویداد۲۴-دو
شب گذشته در برنامه زنده تلویزیونی شبکه «سی ان ان ترکی»، میان «آیکوت
اردوغدو» نماینده مجلس حزب جمهوریخواه خلق و «آیهان اوغان» عضو شورای
مرکزی حزب عدالت و توسعه درگیری لفظی پدید آمد که در ادامه این درگیری لفظی
در حال تبدیل شدن به درگیری فیزیکی بود که با وساطت مجری برنامه متوقف شد.
نماینده مجلس حزب جمهوریخواه خلق با انتقاد از سیاستهای
حزب عدالت و توسعه و استفاده ابزاری از تمام مقدسات و اندیشههای اسلامی
حزب حاکم را مورد انتقاد شدید خود قرار داد.
وی
با بیان این که دولت ترکیه 67 میلیون دلار به لابی یهودی در آمریکا کمک
مالی کرده است با حمله به دولت ترکیه در قبال سیاستهای خود در قبال
اسرائیل گفت: شما به خاطر 20 میلیون دلار در مقابل اسرائیل زانو زدید و
کشتی ماوی مرمره را فروختید.
در
ادامه این مناظره آیهان اوغان، عضو شورای مرکزی حزب عدالت و توسعه در
واکنش به این سخنان با بیان این که «تو بیاخلاق و بیشرف هستی» اقدام به
تکذیب سخنان وی کرد.
در
پاسخ به این فحاشی آیکوت اردوغدو اظهار داشت: اسناد این کمکها را منتشر
خواهیم کرد و در این صورت آیا شما این قدر وجدان دارید که در مقابل ملت
عذرخواهی کنید. شما سالها دیگران را به همراهی با اسرائیل متهم کردید اما
در نهایت امکان دفاع مظلومان ماوی مرمره را با 20 میلیون دلار فروختید.
با
بیان این سخنان از سوی رقیب عضو شورای مرکزی حزب عدالت و توسعه عصبی شده
با مشت بر روی میز خود زد که با واکنش مخالفان خود مواجه شد.
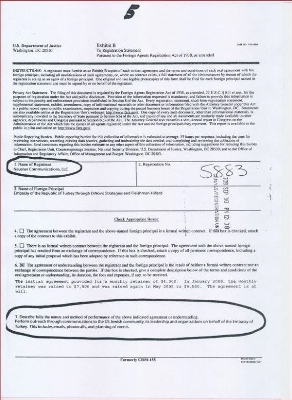
گفتنی
است چند ماه پیش حزب مخالف عدالت و توسعه با انتشار اسنادی مدعی شد که حزب
حاکم برای اثبات دوستی خود با اسرائیل 65.4 میلیون دلار را به یکی از
شرکتهای متعلق به لابی اسرائیلی در آمریکا واریز کرده است. که اسناد آن به
شرح ذیل است:


همچنین
دولت ترکیه در فرآیند عادی سازی روابط خود با تلآویو با پرداخت 20 میلیون
دلار غرامت به حادثهدیدگان کشتی ماوی مرمره حق خونخواهی و شکایت این
افراد از دولت صهیونیستی را سلب کرده و از ارسال پرونده شکایت این افراد به
مجامع بینالمللی خودداری کرد.
این
درگیری در برنامه زنده تلویزیونی در ترکیه موضوع روز شبکههای اجتماعی شده
و درگیریهای لفظی بین طرفداران و مخالفان حزب حاکم در عرصه مجازی ادامه
دارد.
در این میان همراهی حادثهدیدگان کشتی ماوی مرمره با نماینده حزب جمهوری خلق مورد توجه کاربران اینترنتی قرار گرفته است
منبع: تسنیم


